The Mean Value Theorem Calculator with Steps is an excellent aid to study and understand how to find the value c that satisfies the theorem.
To use the mean value theorem calculator you just have to perform these simple actions:
Mean Value Theorem or Lagrange's Theorem states that if a function f(x) is continuous on a closed interval [a, b], there is at least one point (which is in turn differentiable) belonging to the open interval c ∈ (a , b), in which it is fulfilled that:

Viewed graphically:

Since the derivative of a function at a point is the tangent of the angle α formed by the tangent line at that point, the tangents of the angles of the two lines, the secant line through AB and the tangent line at the point (c , f(c)) are parallel and the tangent of both is f'(c).
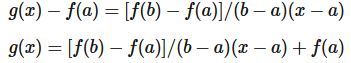
Starting from the graph shown above, we have that g(x) the secant line to the function f(x) passes through the points (a, f(a)) and (b, f(b)).
Knowing this we can define the equation of the secant line g(x):

Assuming that the function h(x) is equal to f(x) - g(x) we have the following:

If we assume that h(a) = h(b) = 0 and h(x) is continuous on the closed interval [a,b] and differentiable on the open interval (a,b). Using Rolles' theorem, there is some x = c in (a,b) such that h'(c) = 0.
For x=c on the open interval (a,b), h'(c) = 0. With this we have

To find c in the Mean Value Theorem you must follow these steps:
Since the function f(x) is polynomial, we know that it is continuous and differentiable throughout its domain and, therefore, also in the closed and open intervals required by the theorem. Therefore, there will be at least one point that satisfies the theorem.
We apply the formula of the theorem to know the value of the derivative when x=c.
![]()
Knowing the numerical value of the derivative when x=c, we proceed to calculate the derivative of the function.

We equate the previous expression with the numerical value of the derivative in c.

These are the two values of the abscissas where the Mean Value Theorem is satisfied: c1 = -2.08 and c2 = 2.08.