
We are pleased to provide you with a great tool to calculate Laplace transforms. The online Laplace Transform Calculator allows you to obtain the transform of a function in the frequency domain without resorting to tables. To use it, you just have to enter the function, then choose the independent variable and finally press the “Calculate” button, once this is done, the solution will automatically be displayed.
The Laplace transform is a type of integral transformation created by the French mathematician Pierre-Simon Laplace (1749-1827), and perfected by the British physicist Oliver Heaviside (1850–1925), with the aim of facilitating the resolution of differential equations. Nowadays Lapace Transforms are largely used by electrical engineers when calculating various parameters of electronic circuits.
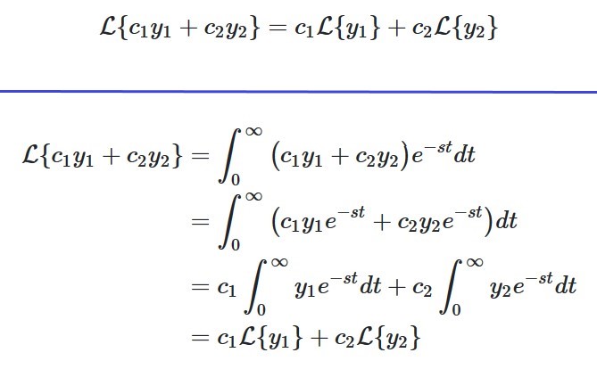
The Laplace transform allows us to simplify a differential equation into a simple and clearly solvable algebra problem. Even when the result of the transformation is a complex algebraic expression, it will always be much easier than solving a differential equation.
The Laplace transform of a function f(t) is defined by the following expression:

As can be seen, the function is integrated based on the independent variable t, resulting in an expression in which the only independent variable is s.
By default, the domain of the function f(t) is the set of all nonnegative real numbers. The domain of the Laplace transform varies depending on the nature of f and can vary from function to function.
Although we already know that the Laplace transform is a technique intended to facilitate the resolution of differential equations, it is also very useful for the following applications:

If X(s) = L{x(t)} then, with a > 0:




Here is a table with the most common Laplace transforms:

